Como é feito o cálculo do parcelado com juros compostos?
1 min de leitura
Há duas configurações possíveis de cobrança de parcelado com juros compostos:
- Cobrança no início do período;
- Cobrança no fim do período.
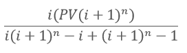
Início do período
A cobrança no início do período é calculada da seguinte forma:
- i = Taxa de Juros
- n = Número de Parcelas
- PV = Valor Presente (valor total da compra sem juros)
- Parcela =

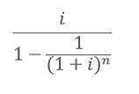
Fim do período
A cobrança no fim do período é calculada da seguinte forma:
- i = Taxa de Juros
- n = Número de Parcelas
- PV = Valor Presente (valor total da compra sem juros)
- Multiplicador Cash Flow =

- Parcela =
PV x Multiplicador Cash Flow
Exemplos
Início do Período
- i = 1%
- n = 12
- PV = 1000

Fim do Período
- i = 1%
- n = 12
- PV = 1000

